TUGAS PENDAHULUAN
OSCILOSCOPE DAN PENGUKURAN DAYA
(MODUL II)
1.Jelaskan pengertian dan fungsi osciloscope.
Jawab.
Osciloscope adalah alat ukur elektronik yang berfungsi untuk memvisualisasikan dan menganalisis bentuk gelombang listrik.Osciloscope dapat digunakan untuk mengukur, menganalisis,dan merekam sinyal tegangan.
Fungsi: * menganalisis bentuk gelombang dan sinyal dalam rangkaian listrik.
* men debug masalah rangkaian
* menganalisis frekuensi dan fase sinyal
* mengoptimalkan kinerja rangkaian
2. Jelaskan prinsip kerja dari oscilloscope!
Jawab.
Prinsip kerja osiloskop dapat dijelaskan dengan beberapa cara yaitu.
*osiloskop analog menggunakan gerakan berkelanjutan berkas elektron untuk memetakan sinyal waktu nyata
*osiloskop sinar katoda(CRO)menggunakan berkas elektron berkecepatan tinggi yang dibelokkan oleh medan listrik atau magnet
3.Jelaskan apa itu daya
Jawab.
Daya merupakan jumlah usaha yang dilakukan tiap satuan waktu. Satuan yang digunakan untuk menyatakan daya yaitu joule per detik atau Watt.
4.Jelaskan macam macam daya beserta penggunaannya dalam kehidupan sehari hari.
Jawab.
Daya dalam kehidupan sehari hari dapat berupa daya listrik,daya
aktif,daya reaktif,dan daya semu.
*Daya Listrik
*Digunakan untuk penerangan
*Digunakan untuk menghasilkan panas
*Daya aktif
*Daya yang digunakan untuk melakukan pekerjaan dalam
rangkaian listrik.
*Daya reaktif
Daya yang dihasilkan oleh induktor dan kapasitor
tetapi tidak digunakan untuk pekerjaan.
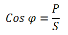
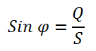
5.Jelaskan apa itu faktor daya dan jenis jenis faktor daya beserta kurvanya.
Jawab.
Faktor daya adalah konstanta nilai cosinus dari
sudut pergerakan fasa.
*Jenis faktor daya.
1.Faktor daya unity
Faktor daya unity adalah keadaan saat nilai cos φ adalah satu dan tegangan sephasa dengan arus. Faktor daya Unity akan terjadi bila jenis beban adalah resistif murni.
2.Faktor daya terbelakang
Faktor daya terbelakang (lagging) adalah keadaan faktor daya saat Beban/ peralatan listrik memerlukan daya reaktif dari sistem atau beban bersifat induktif dan Arus (I ) terbelakang dari tegangan (V), V mendahului I dengan sudut φ.
- Faktor daya mendahului (leading)


Komentar
Posting Komentar